Bei Tätigkeiten nach H Abschnitt 1 Absatz 1 hat der Arbeitgeber dafür zu sorgen, dass
4.2.1 Allgemeine Anforderungen
(1) Mit den Tätigkeiten dürfen Beschäftigte nur bei ausreichender technischer Lüftung des Raumes beschäftigt werden. Auf technische Lüftung kann nur verzichtet werden, wenn während der Tätigkeiten in Räumen und Behältern insbesondere durch die bei den Tätigkeiten eingesetzten Stoffe
auftreten.
(2) Die technische Lüftung soll sowohl Zuluft als auch Abluft umfassen. Ist nur eine Form der Lüftung (Zu- oder Abluft) möglich, ist das Absaugen dem Ausblasen vorzuziehen, da durch Absaugung die Schadstoffe kontrolliert abgeführt werden können. (Beispiele zur Anordnung der technischen Lüftungseinrichtungen siehe Anhang 4).
(3) Die Luftzuführung ist so zu gestalten, dass der gesamte Raum durchspült wird und die Beschäftigten möglichst im Frischluftstrom arbeiten. Auf gute Durchlüftung von Senken, Kanälen und ähnlichen Vertiefungen ist besonders zu achten. Die Bewegungsrichtung der Luft ist durch einen Strömungsprüfer, z. B. durch Rauchröhrchen oder Windfähnchen, festzustellen. Die Wirksamkeit der Lüftung ist vor Beginn und vor jeder Wiederaufnahme der Tätigkeiten zu prüfen.
(4) Zur Belüftung muss Frischluft verwendet werden. Die Frischluft muss Außenluftqualität haben. Die Zuluft muss bei Bedarf angewärmt werden.
(5) Sauerstoff oder Luft mit erhöhtem Sauerstoffanteil – mehr als 20,9 % – dürfen zur Raumbelüftung nicht verwendet werden.
(6) Die Wirksamkeit der Lüftung ist während der Tätigkeiten zu überwachen. Dies kann z. B. geschehen durch
(7) Die unbeabsichtigte Abschaltung der Technischen Lüftung ist durch geeignete technische oder organisatorische Maßnahmen auszuschließen.
(8) Wenn die Lüftung unwirksam wird, sind die Tätigkeiten sofort einzustellen und der Raum ist unverzüglich zu verlassen.
(9) Nach Beendigung der Tätigkeiten muss die technische Lüftung so lange in Betrieb bleiben, bis mit der Bildung einer gefährlichen Konzentration nicht mehr zu rechnen ist. Für die Dauer der Lüftung nach Beendigung von Beschichtungs- und Klebearbeiten ist in der Regel mit dem Zweifachen der vom Hersteller angegebenen Trocknungszeit zu rechnen.
(10) Ist damit zu rechnen, dass in der Abluft Gefahrstoffe in gesundheitsgefährdender Konzentration enthalten sind, ist die Abluft so abzuführen, dass Beschäftigte oder Dritte nicht gefährdet werden.
(11) Vor Aufnahme anderer Tätigkeiten hat die aufsichtsführende Person zum Nachweis der ausreichenden Nachlüftung ggf. ein erneutes Freimessen nach Abschnitt 3.2 zu veranlassen.
4.2.2 Lüftungstechnische Maßnahmen zum Gesundheitsschutz bei Beschichtungs- und Klebearbeiten
(1) Die Forderung nach Vermeidung gesundheitsgefährdender Konzentrationen wird bei der Durchführung von Beschichtungs- und Klebearbeiten ohne Bildung von Aerosolen (z. B. Rollen, Streichen) z. B. erfüllt, wenn durch Freimessen nach Abschnitt 3.2 nachgewiesen wird, dass der Volumenstrom der technischen Lüftung ausreichend ist.
(2) Können die in Absatz 1 geforderten Maßnahmen verfahrensbedingt nicht eingehalten werden, ist die Benutzung geeigneter Atemschutzgeräte nach Abschnitt 6.2 erforderlich.
(3) Wenn bei Beschichtung- und Klebearbeiten verfahrensbedingt Aerosole entstehen, ist zusätzlich zu den Anforderungen nach Abschnitt 6.2 Absatz 1 die Benutzung für Aerosole ausgelegter Atemschutzgeräte erforderlich.
4.2.3 Lüftungstechnische Maßnahmen zum Explosionsschutz bei Beschichtungs- und Klebearbeiten
(1) Die Forderung nach Vermeidung der Bildung gefährlicher explosionsfähiger Atmosphäre wird bei der Durchführung von Beschichtungs- und Klebearbeiten ohne Bildung von Aerosolen (z. B. Rollen, Streichen) z. B. erfüllt, wenn der Mindestluftvolumenstrom der technischen Lüftung 300 m3/h pro kg stündlich eingebrachter Lösemittelmenge beträgt.
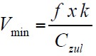
(2) Der Mindestluftvolumenstrom kann auch anhand der unteren Explosionsgrenze des verwendeten Gefahrstoffes nach folgender Formel berechnet werden:

| Vmin | erforderlicher Mindestvolumenstrom in m3/h |
| k | Verbrauch an brennbaren Gefahrstoffen in g/h |
| Czul | zulässige Konzentration an brennbaren Gefahrstoffen im Raum in g/m3 |
| – Czul < 50 % der UEG des verwendeten brennbaren Gefahrstoffes oder, wenn die UEG nicht bekannt ist, < 20 g/m3 – | |
| f | Sicherheitszuschlag f = 5 bei Räumen mit ungünstigen Strömungsverhältnissen, wie z. B. Schiffsräumen und Behältern mit Einbauten, Brückenträgern u. ä. f = 1 bei idealen Strömungsverhältnissen (z. B. in Rohrleitungen). |
(3) Zusätzlich sind Explosionsschutzmaßnahmen nach Abschnitt 4.3 einzuhalten.
4.3.1 Vermeidung gefährlicher explosionsfähiger Atmosphäre
(1) Die Bildung gefährlicher explosionsfähiger Atmosphäre gilt als ausreichend verhindert, wenn sichergestellt ist, dass
(2) Die Bildung gefährlicher explosionsfähiger Atmosphäre kann in besonderen Fällen durch Inertisierung (z. B. durch Einleitung von Stickstoff) verhindert werden. Die Inertisierung ist zu überwachen. Bei Anwendung der Inertisierung müssen wirksame Maßnahmen zur Vermeidung der Erstickungsgefahr getroffen werden.
(3) Die Bildung einer gefährlichen explosionsfähigen Atmosphäre durch Dämpfe einer brennbaren Flüssigkeit wird verhindert, wenn die Verarbeitungstemperatur der Flüssigkeit unter ihrem unteren Explosionspunkt liegt. Dabei ist zu berücksichtigen,
(4) Wird eine Flüssigkeit nach Abschnitt 2.8, die in versprühtem Zustand entzündet werden kann, verspritzt oder versprüht (z. B. Farbspritzen), entstehen im Spritzbereich Aerosole. Diese können unabhängig von der Einhaltung der Anforderungen der Absätze 1 und 3 eine gefährliche explosionsfähige Atmosphäre bilden.
(5) Mit der Bildung einer gefährlichen explosionsfähigen Atmosphäre durch Aerosole ist nicht zu rechnen, wenn ausschließlich Flüssigkeiten nach Abschnitt 2.9, die in versprühtem Zustand nicht entzündet werden können, verspritzt oder versprüht werden.
(6) Die Maßnahmen der Absätze 1 bis 5 sind auch bei der Beseitigung von Restmengen zu berücksichtigen.
4.3.2 Allgemeine Anforderungen zum Zündschutz
(1) Kann aus betriebs- oder verfahrenstechnischen Gründen das Vorhandensein einer gefährlichen explosionsfähigen Atmosphäre nicht ausgeschlossen werden, sind wirksame Maßnahmen zur Vermeidung von Zündquellen zu treffen.
(2) Maßnahmen zur Zündquellenvermeidung sind z. B.:
(3) In Räumen oder Bereichen einschließlich ihrer Öffnungen und
sind Arbeiten mit Zündgefahr und das Rauchen verboten, solange gefährliche explosionsfähige Atmosphäre auftreten können. Arbeiten mit Zündgefahr können z. B. sein:
(4) Eine Übersicht zu den in Abhängigkeit der verwendeten Stoffe und der angewandten Verfahren erforderlichen Zündschutzmaßnahmen enthält Anhang 5.
(5) Dieser Abschnitt enthält Zündschutzanforderungen für Geräte, Schutzsysteme, Sicherheits-, Kontroll- oder Regelvorrichtungen, die der 11. ProdSV (RL 2014/34/EU) entsprechen. Explosionsgeschützte elektrische Betriebsmittel, die in den Geltungsbereich der Verordnung über elektrische Anlagen in explosionsgefährdeten Bereichen (ElexV) fielen, müssen analog die für diese Geräte geltenden Zündschutzanforderungen erfüllen, siehe BetrSichV §§ 4 und 7.
(6) Die Anforderungen der Abschnitte 4.3.3 bis 4.3.8 gelten auch während der Trocknungsphase. Der Aufenthalt von Beschäftigten während der Trocknungsphase in Räumen und Behältern ist weitestgehend zu vermeiden und sollte nur für Kontrollen oder bei unvorhergesehen Ereignissen erfolgen.
(7) Beim Auftreten von Sauerstoffkonzentrationen über 21 % (Sauerstoffüberschuss) sind die sicherheitstechnischen Kenngrößen zur Ableitung geeigneter Zündschutzmaßnahmen im Einzelfall zu bestimmen.
4.3.3 Geräteschutz beim Reinigen und bei der Restmengenbeseitigung in Räumen und Behältern, die brennbare Flüssigkeiten enthalten, mit Verspritzen oder Versprühen von Flüssigkeiten nach Abschnitt 2.8, die in versprühtem Zustand entzündet werden können
Beim Reinigen und der Beseitigung von Restmengen brennbarer Flüssigkeiten müssen, wenn bei diesen Tätigkeiten Flüssigkeiten nach Abschnitt 2.8, die in versprühtem Zustand entzündet werden können, verspritzt oder versprüht werden, alle elektrischen und nichtelektrischen Geräte im Sinne der RL 2014/34/EU im ganzen Raum oder Behälter der Kategorie 1G der RL 2014/34/EU entsprechen, falls eine ausreichende technische Lüftung nach Abschnitt 4.2.3 nicht sichergestellt werden kann.
4.3.4 Geräteschutz beim Reinigen und Beschichten mit Verspritzen oder Versprühen von Flüssigkeiten nach Abschnitt 2.8, die in versprühtem Zustand entzündet werden können, ohne Lachenbildung
Beim Reinigen und Beschichten müssen, wenn bei diesen Tätigkeiten Flüssigkeiten nach Abschnitt 2.8, die in versprühtem Zustand entzündet werden können, verspritzt oder versprüht werden, alle elektrischen und nichtelektrischen Geräte im Sinne der RL 2014/34/EU, die im Spritz-/Sprühbereich vorhanden sind oder verwendet werden, der Kategorie 2G der RL 2014/34/EU entsprechen. Im übrigen Raum oder Behälter müssen alle elektrischen und nichtelektrischen Geräte im Sinne der RL 2014/34/EU mindestens der Kategorie 3G der RL 2014/34/EU entsprechen. Lachenbildung muss verhindert werden. Die Verwendung elektrostatischer Sprüheinrichtungen ist nicht zulässig.
4.3.5 Geräteschutz beim Reinigen und Beschichten mit Verspritzen oder Versprühen von Flüssigkeiten nach Abschnitt 2.9, die in versprühtem Zustand nicht entzündet werden können
Beim Reinigen und Beschichten müssen, wenn bei diesen Tätigkeiten ausschließlich Flüssigkeiten nach Abschnitt 2.9, die in versprühtem Zustand nicht entzündet werden können, verspritzt oder versprüht werden, alle elektrischen Geräte mindestens der Schutzart IP 54 nach DIN EN 60529 entsprechen.
4.3.6 Geräteschutz beim Reinigen und bei der Restmengenbeseitigung in Räumen und Behältern, die brennbare Flüssigkeiten enthalten, mit größeren Stoffmengen, ohne Verspritzen oder Versprühen
(1) Beim Reinigen und der Beseitigung von Restmengen brennbarer Flüssigkeiten in größeren Mengen (z. B. mit Lachenbildung) müssen, wenn bei diesen Tätigkeiten die Stoffe nicht verspritzt oder versprüht werden, alle elektrischen und nichtelektrischen Geräte im Sinne der RL 2014/34/EU im ganzen Raum oder Behälter grundsätzlich der Kategorie 1G der RL 2014/34/EU entsprechen, wenn
Wenn über Messungen nach Abschnitt 3.2 nachgewiesen ist, dass die Konzentration dieser Stoffe im ganzen Raum während der Tätigkeiten kleiner als 50 % der UEG ist, müssen dennoch alle elektrischen und nichtelektrischen Geräte im Sinne der RL 2014/34/EU im ganzen Raum oder Behälter mindestens der Kategorie 2G der RL 2014/34/EU entsprechen, da durch die Messungen nicht ausgeschlossen werden kann, dass in einzelnen Bereichen des Raums oder Behälters die UEG überschritten werden kann.
(2) Beim Reinigen und der Beseitigung von Restmengen brennbarer Flüssigkeiten in größeren Mengen (z. B. mit Lachenbildung) müssen, wenn bei diesen Tätigkeiten die Stoffe nicht verspritzt oder versprüht werden, alle elektrischen und nichtelektrischen Geräte im Sinne der RL 2014/34/EU im ganzen Raum oder Behälter der Kategorie 2G der RL 2014/34/EU entsprechen. Dies gilt unter der Bedingung, dass
soweit eine temporäre Überschreitung des UEP durch Temperaturschwankungen während der Tätigkeiten nicht ausgeschlossen werden kann. Wenn über Messungen nach 3.2 nachgewiesen ist, dass die Konzentration dieser Stoffe im ganzen Raum während der Tätigkeiten kleiner als 50 % der UEG ist, müssen dennoch alle elektrischen und nichtelektrischen Geräte im Sinne der RL 2014/34/EU im ganzen Raum oder Behälter mindestens der Kategorie 3G der RL 2014/34/EU entsprechen, da durch die Messungen nicht ausgeschlossen werden kann, dass in einzelnen Bereichen des Raums oder Behälters die UEG überschritten werden kann.
(3) Beim Reinigen und der Beseitigung von Restmengen brennbarer Flüssigkeiten in größeren Mengen (z. B. mit Lachenbildung) müssen, wenn bei diesen Tätigkeiten die Stoffe nicht verspritzt oder versprüht werden, alle elektrischen Geräte mindestens der Schutzart IP 54 entsprechen, wenn
4.3.7 Geräteschutz beim Reinigen und Beschichten unter Verwendung geringer Mengen brennbarer Flüssigkeiten ohne Verspritzen oder Versprühen und ohne Lachenbildung
(1) Beim Reinigen und Beschichten unter Verwendung geringer Mengen brennbarer Flüssigkeiten müssen, wenn bei diesen Tätigkeiten die Stoffe nicht verspritzt oder versprüht werden und die Temperatur der Stoffe nach Abschnitt 4.3.1 Absatz 3 über dem UEP liegt, alle elektrischen und nichtelektrischen Geräte im Sinne der RL 2014/34/EU im ganzen Raum oder Behälter mindestens der Kategorie 3G der RL 2014/34/EU entsprechen. Lachenbildung muss verhindert werden.
(2) Beim Reinigen und Beschichten unter Verwendung geringer Mengen brennbarer Flüssigkeiten müssen, wenn bei diesen Tätigkeiten die Stoffe nicht verspritzt oder versprüht werden und die Temperatur der Stoffe nach Abschnitt 4.3.1 Absatz 3 unter dem UEP liegt, alle elektrischen Geräte mindestens der Schutzart IP 54 entsprechen.
4.3.8 Geräteschutz beim Reinigen und Restmengenbeseitigung in Räumen und Behältern, die brennbare Gase enthalten
Beim Reinigen und der Restmengenbeseitigung in Räumen und Behältern, die brennbare Gase enthalten oder in denen brennbare Gase freigesetzt werden können, müssen alle elektrischen und nichtelektrischen Geräte im Sinne der RL 2014/34/EU im ganzen Raum oder Behälter grundsätzlich der Kategorie 1G der RL 2014/34/EU entsprechen. Wenn über Messungen nach Abschnitt 3.2 nachgewiesen ist, dass die Konzentration brennbarer Gase im ganzen Raum während der Tätigkeiten kleiner als 50 % der UEG ist, müssen dennoch alle elektrischen und nichtelektrischen Geräte im Sinne der RL 2014/34/EU im ganzen Raum oder Behälter mindestens der Kategorie 3G der RL 2014/34/EU entsprechen, da durch die Messungen nicht ausgeschlossen werden kann, dass in einzelnen Bereichen des Raums oder Behälters die UEG überschritten werden kann.
(1) Mit den in H Abschnitt 1 Absatz 1 genannten Tätigkeiten darf nur begonnen werden, wenn sichergestellt ist, dass der Raum oder Behälter möglichst schnell verlassen werden kann und Personen jederzeit gerettet werden können. Hierbei sind insbesondere zu berücksichtigen:
(2) Aus Gründen einer schnellen und schonenden Rettung sollen Zugangsöffnungen unter Berücksichtigung der betrieblichen Gegebenheiten ausreichend groß bemessen werden. Geeignete Zugangsöffnungen sind beispielhaft in Anhang 6 dargestellt.
(3) Anforderungen an Zugangsöffnungen aus anderen Rechtsvorschriften bleiben hiervon unberührt.